Официальное опубликование правовых актов
ОФИЦИАЛЬНОЕ ОПУБЛИКОВАНИЕ
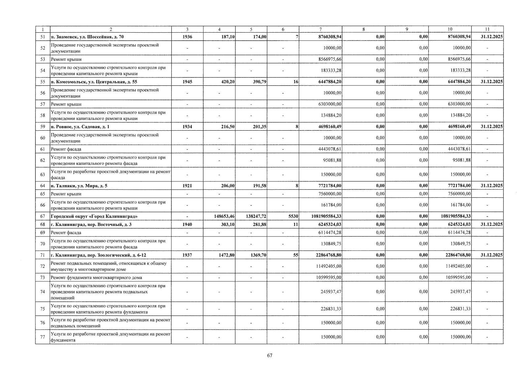
Приказ Министерства строительства и жилищно-коммунального хозяйства Калининградской области от 18.03.2024 № 25
"О внесении изменений в краткосрочный план реализации на 2024 – 2026 годы региональной программы капитального ремонта общего имущества в многоквартирных домах, расположенных на территории Калининградской области"
(Зарегистрирован 18.03.2024 № ГР/210/2024)
Номер опубликования: 3901202403200001
Дата опубликования: 20.03.2024
Страница №69 из 254:
Увеличить