Официальное опубликование правовых актов
ОФИЦИАЛЬНОЕ ОПУБЛИКОВАНИЕ
Приказ Министерства градостроительной политики Калининградской области от 17.01.2024 № 09
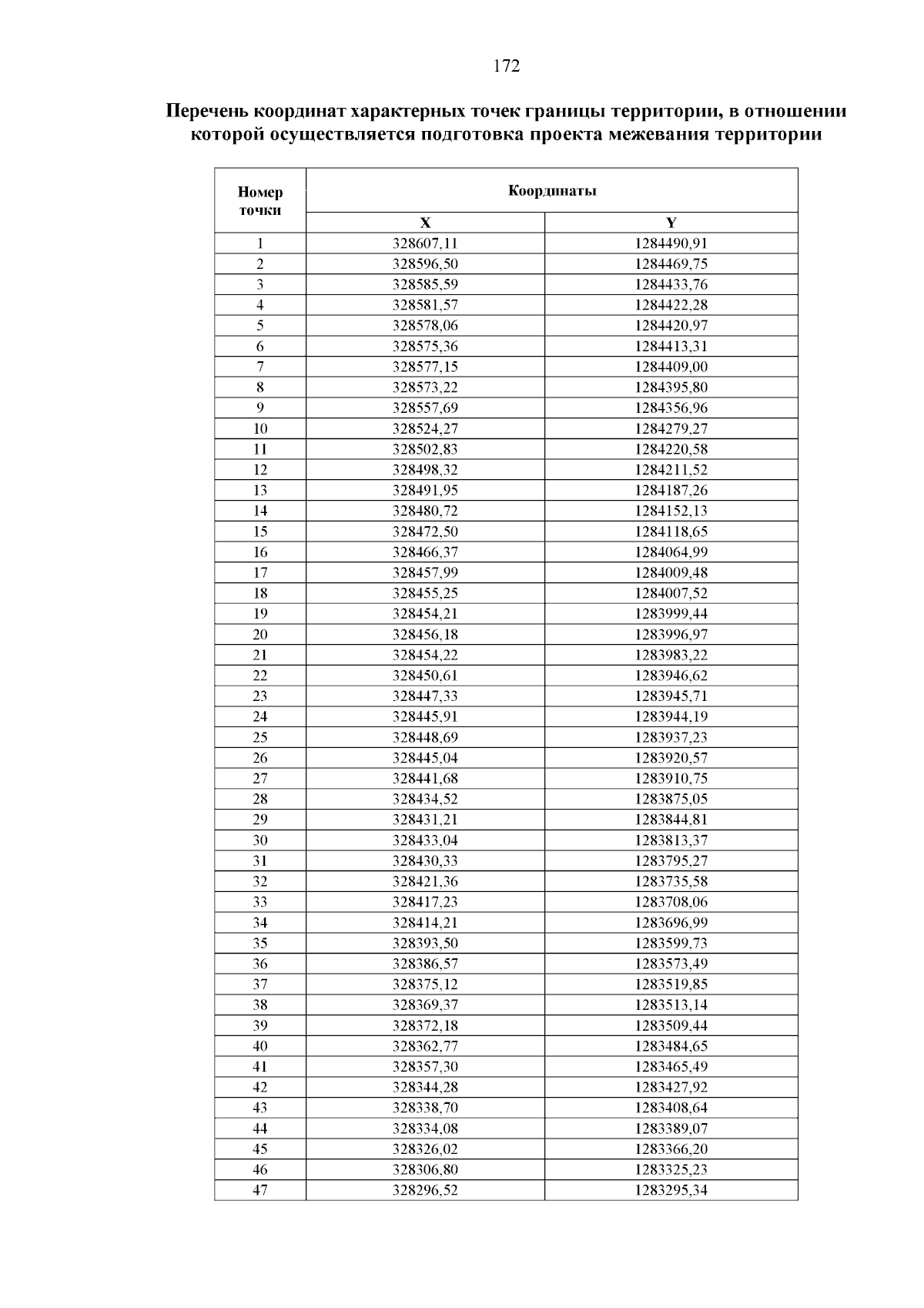
"Об утверждении документации по планировке территории, предусматривающей размещение линейного объекта регионального значения "Реконструкция автомобильной дороги Малое Путятино – Садовое – Шишково, км 0,0 - 7,50"
(Зарегистрирован 18.01.2024 № ГР/18/2024)
Номер опубликования: 3901202401210005
Дата опубликования: 21.01.2024
Страница №174 из 187:
Увеличить