Официальное опубликование правовых актов
ОФИЦИАЛЬНОЕ ОПУБЛИКОВАНИЕ
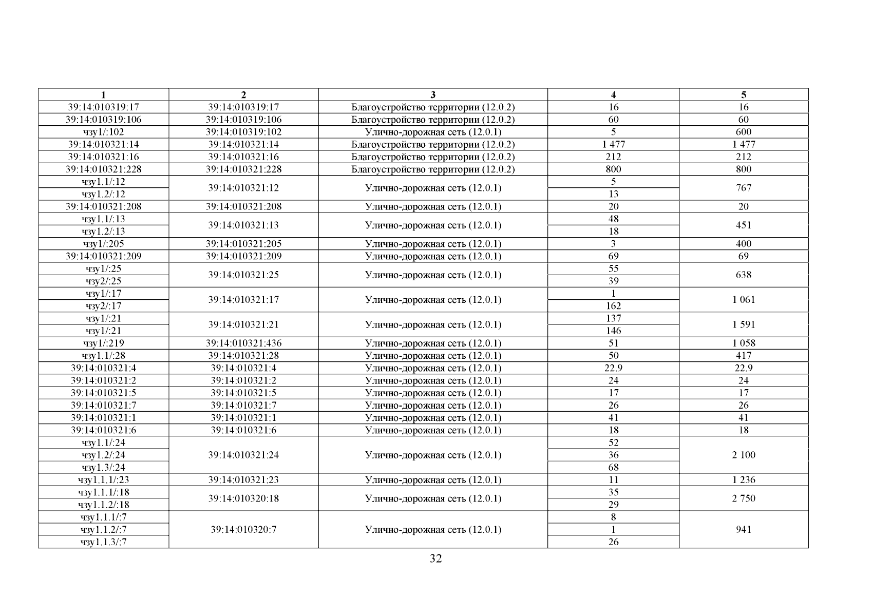
Приказ Министерства градостроительной политики Калининградской области от 22.12.2023 № 543
"Об утверждении проекта планировки территории с проектом межевания в его составе в границах улиц А. Романова – Е. Кочешкова – А. Серебровской в городе Балтийске муниципального образования "Балтийский городской округ" Калининградской области"
(Зарегистрирован 25.12.2023 № ГР/1307/2023)
Номер опубликования: 3901202312270013
Дата опубликования: 27.12.2023
Страница №34 из 65:
Увеличить