Официальное опубликование правовых актов
ОФИЦИАЛЬНОЕ ОПУБЛИКОВАНИЕ
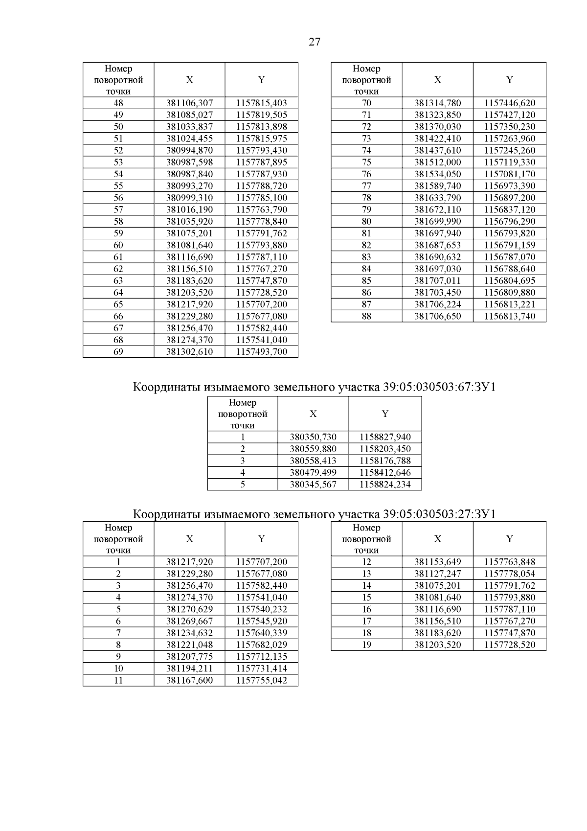
Приказ Министерства градостроительной политики Калининградской области от 20.12.2023 № 536
"Об утверждении документации по планировке территории, предусматривающей размещение линейного объекта регионального значения "Реконструкция автомобильной дороги "Приморье – Донское, км 0,00 - 4,60"
(Зарегистрирован 20.12.2023 № ГР/1289/2023)
Номер опубликования: 3901202312250001
Дата опубликования: 25.12.2023
Страница №29 из 36:
Увеличить