Официальное опубликование правовых актов
ОФИЦИАЛЬНОЕ ОПУБЛИКОВАНИЕ
Приказ Министерства строительства и жилищно-коммунального хозяйства Калининградской области от 18.12.2023 № 259
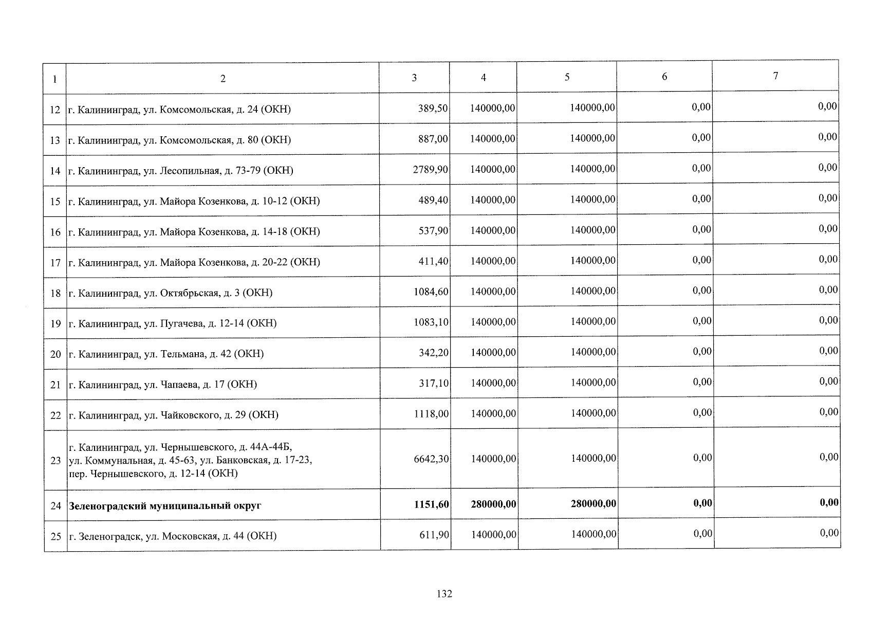
"О внесении изменений в краткосрочный план реализации на 2021 – 2023 годы региональной программы капитального ремонта общего имущества в многоквартирных домах, расположенных на территории Калининградской области"
(Зарегистрирован 18.12.2023 № ГР/1268/2023)
Номер опубликования: 3901202312200001
Дата опубликования: 20.12.2023
Страница №134 из 154:
Увеличить