Официальное опубликование правовых актов
ОФИЦИАЛЬНОЕ ОПУБЛИКОВАНИЕ
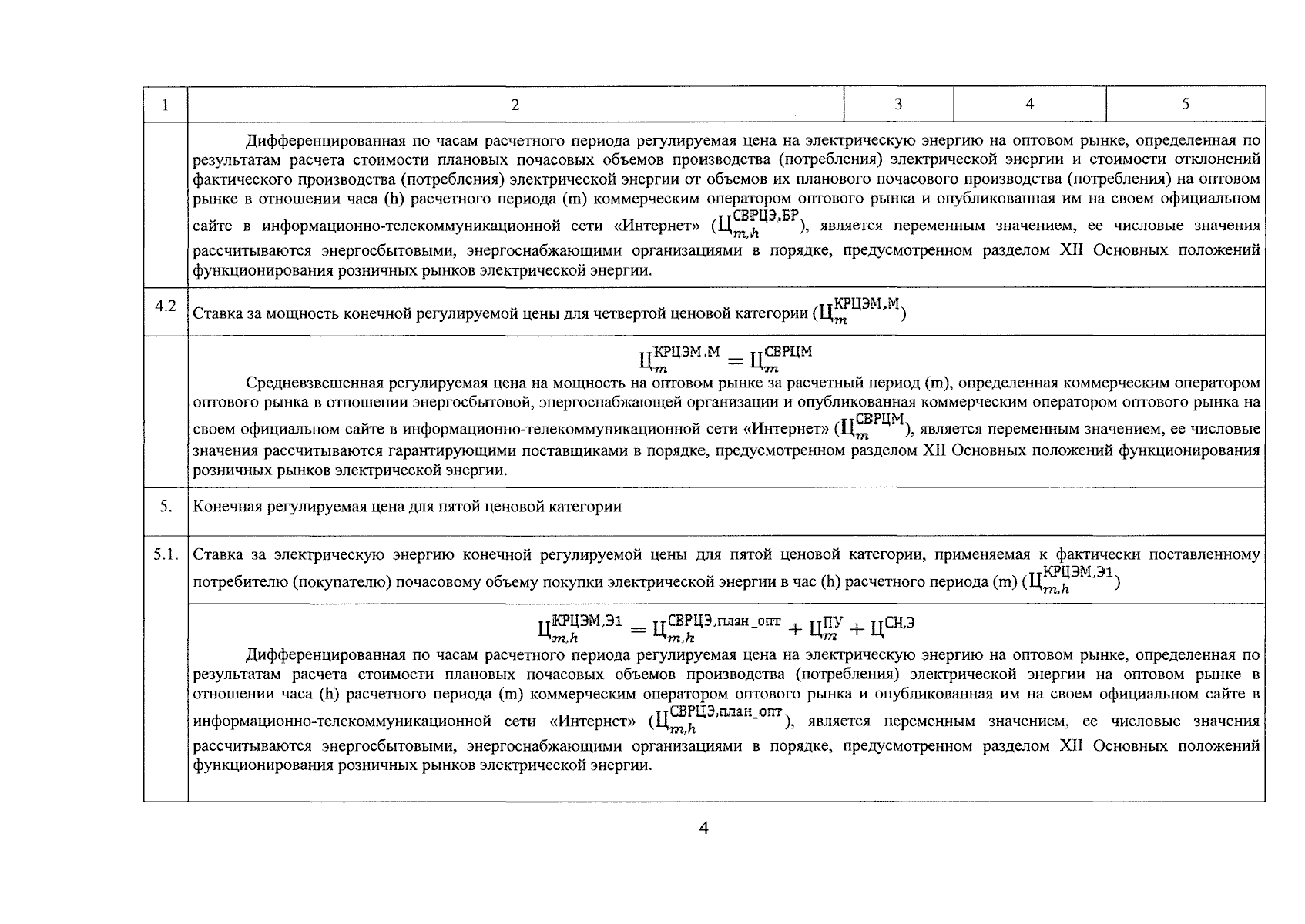
Приказ Службы по государственному регулированию цен и тарифов Калининградской области от 14.12.2023 № 92-10э/23
"Об установлении цен (тарифов) на электрическую энергию (мощность), приобретаемую на оптовом рынке энергосбытовыми организациями ООО "РТ-Энерго", ООО "АРСТЭМ-ЭнергоТрейд",ООО "Черкизово ТЭК" и поставляемую покупателям на розничном рынке Калининградской области, объединенной в неценовую зону оптового рынка, за исключением электрической энергии (мощности), поставляемой населению и приравненным к нему категориям потребителей, на 2024 год"
(Зарегистрирован 18.12.2023 № ГР/1260/2023)
Номер опубликования: 3901202312190030
Дата опубликования: 19.12.2023
Страница №5 из 31:
Увеличить