Официальное опубликование правовых актов
ОФИЦИАЛЬНОЕ ОПУБЛИКОВАНИЕ
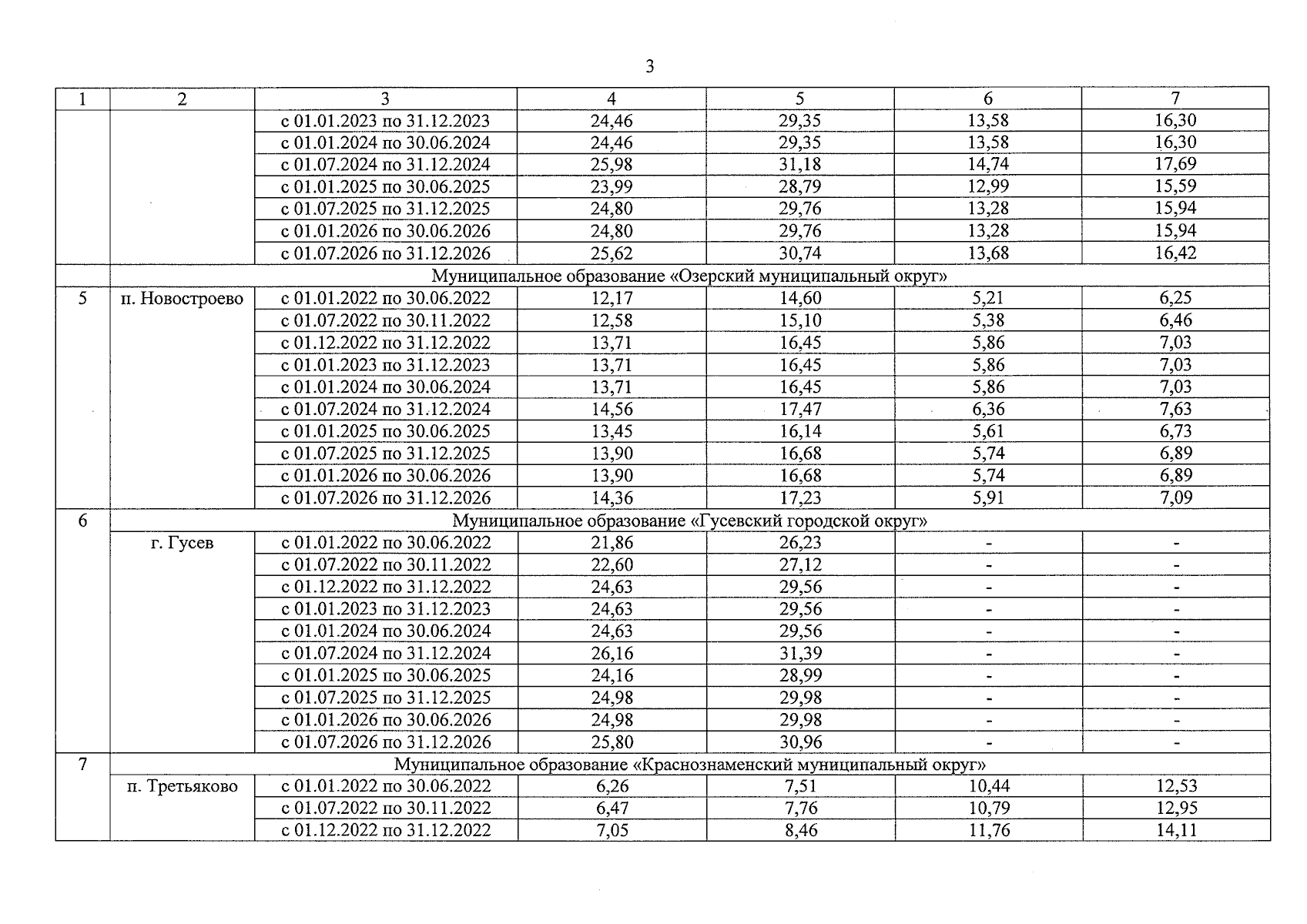
Приказ Службы по государственному регулированию цен и тарифов Калининградской области от 22.11.2023 № 77-07окк/23
"О внесении изменений в приказ Службы по государственному регулированию цен и тарифов Калининградской области от 07 декабря 2021 года № 66-10окк/21"
(Зарегистрирован 24.11.2023 № ГР/1046/2023)
Номер опубликования: 3901202311270023
Дата опубликования: 27.11.2023
Страница №4 из 9:
Увеличить