Приказ Министерства социальной политики Калининградской области от 17.11.2023 № 91-НПА
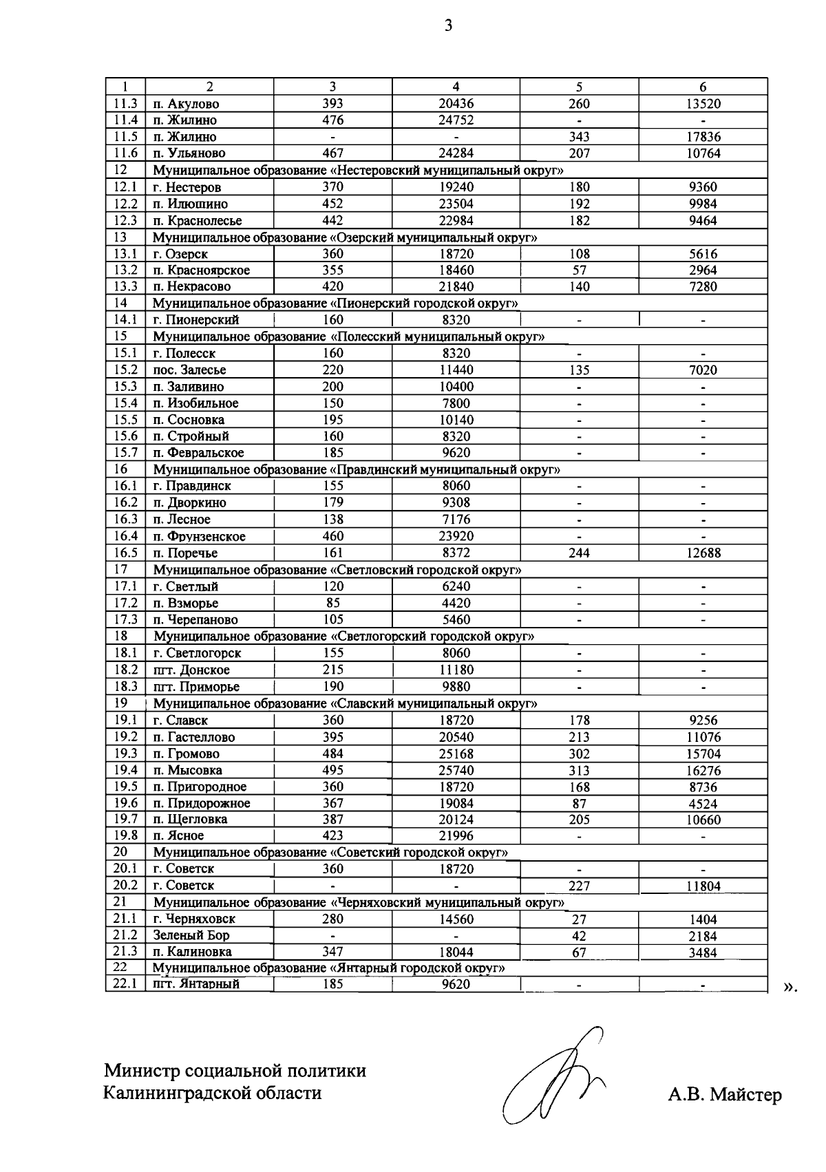
"О внесении изменения в размеры ежемесячных выплат на проезд инвалидов и детей-инвалидов, страдающих хронической почечной недостаточностью, получающих специализированную медицинскую помощь методом заместительной почечной терапии (гемодиализ), и сопровождающих их лиц к месту проведения гемодиализа и обратно и признании утратившими силу некоторых приказов Министерства социальной политики Калининградской области"
(Зарегистрирован 17.11.2023 № ГР/1000/2023)
"О внесении изменения в размеры ежемесячных выплат на проезд инвалидов и детей-инвалидов, страдающих хронической почечной недостаточностью, получающих специализированную медицинскую помощь методом заместительной почечной терапии (гемодиализ), и сопровождающих их лиц к месту проведения гемодиализа и обратно и признании утратившими силу некоторых приказов Министерства социальной политики Калининградской области"
(Зарегистрирован 17.11.2023 № ГР/1000/2023)
Номер опубликования: 3901202311200004
Дата опубликования:
20.11.2023
