Официальное опубликование правовых актов
ОФИЦИАЛЬНОЕ ОПУБЛИКОВАНИЕ
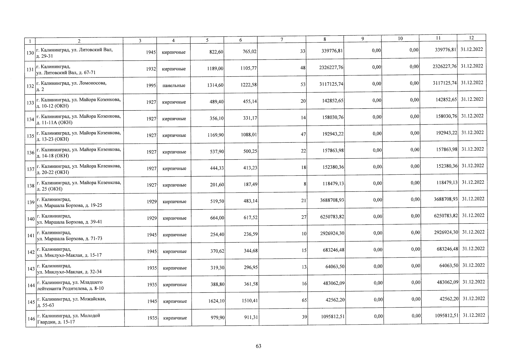
Приказ Министерства строительства и жилищно-коммунального хозяйства Калининградской области от 14.11.2023 № 249
"О внесении изменений в краткосрочный план реализации на 2021 – 2023 годы региональной программы капитального ремонта общего имущества в многоквартирных домах, расположенных на территории Калининградской области"
(Зарегистрирован 14.11.2023 № ГР/978/2023)
Номер опубликования: 3901202311150004
Дата опубликования: 15.11.2023
Страница №65 из 154:
Увеличить