Официальное опубликование правовых актов
ОФИЦИАЛЬНОЕ ОПУБЛИКОВАНИЕ
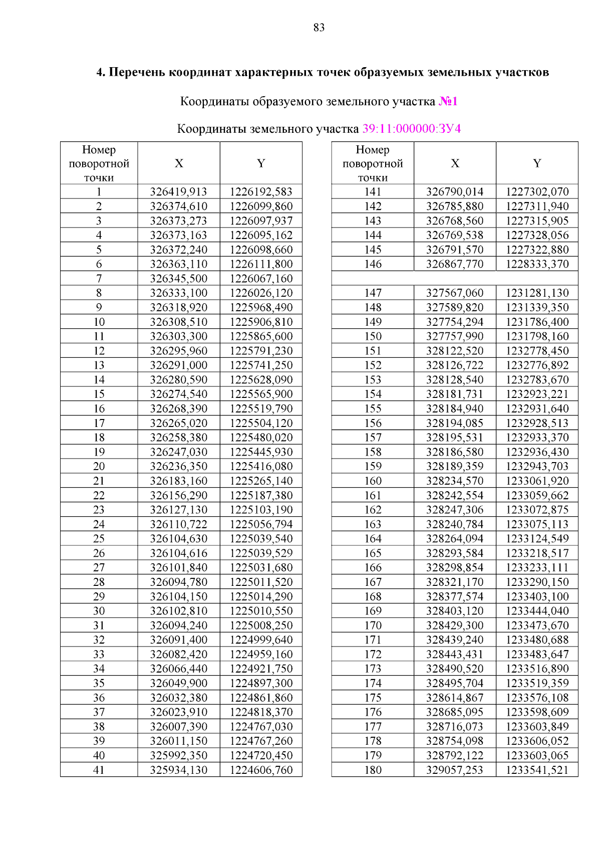
Приказ Министерства градостроительной политики Калининградской области от 24.10.2023 № 444
"Об утверждении проекта планировки территории с проектом межевания в его составе, предусматривающего размещение линейного объекта регионального значения "Автомобильная дорога Правдинск – Знаменск – "Калининград – Черняховск – Нестеров – граница с Литовской Республикой", км 0,00 – 14,00"
(Зарегистрирован 24.10.2023 № ГР/925/2023)
Номер опубликования: 3901202310260001
Дата опубликования: 26.10.2023
Страница №85 из 107:
Увеличить