Официальное опубликование правовых актов
ОФИЦИАЛЬНОЕ ОПУБЛИКОВАНИЕ
Приказ Министерства строительства и жилищно-коммунального хозяйства Калининградской области от 21.09.2023 № 243
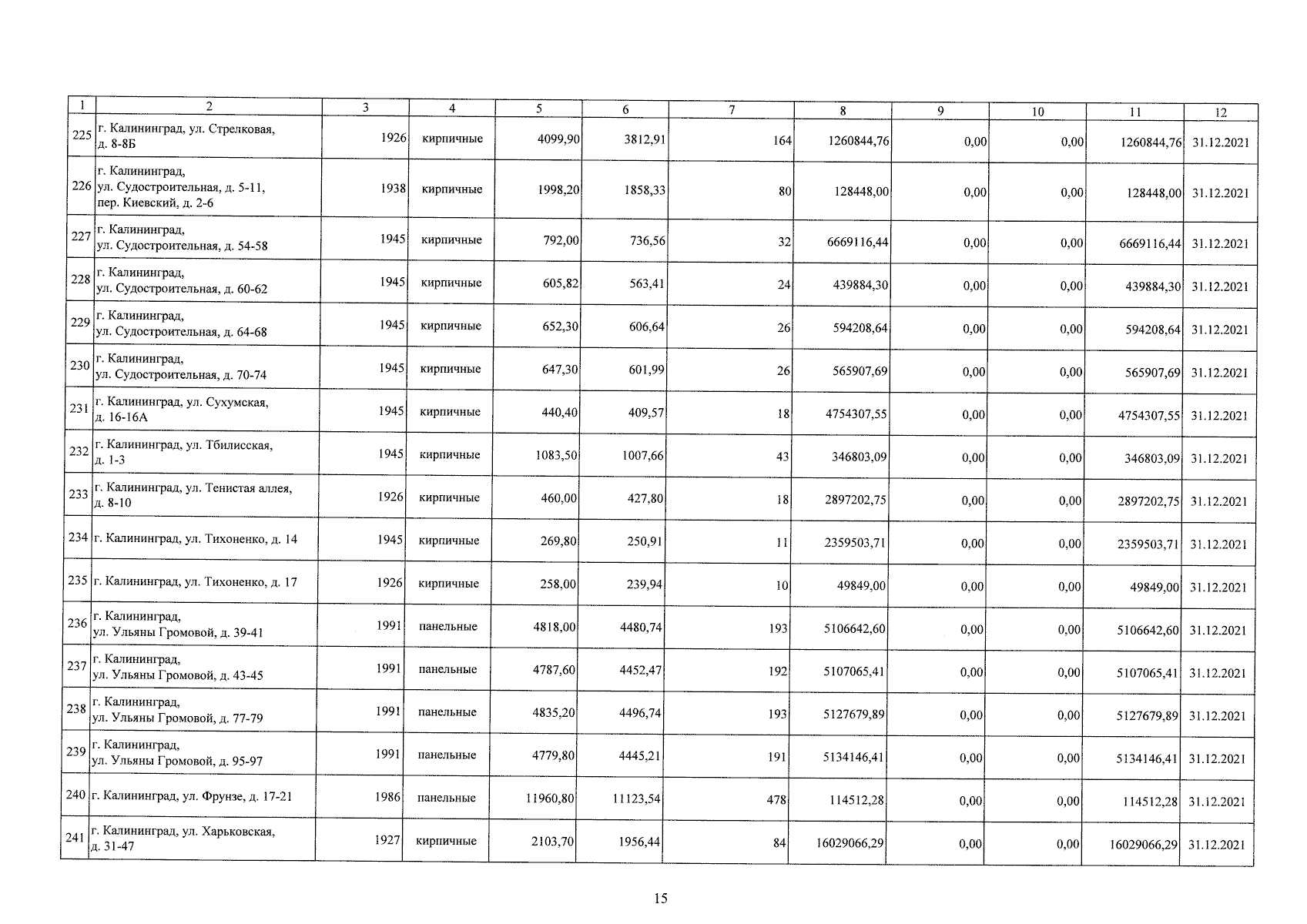
"О внесении изменений в краткосрочный план реализации на 2021 – 2023 годы региональной программы капитального ремонта общего имущества в многоквартирных домах, расположенных на территории Калининградской области"
(Зарегистрирован 22.09.2023 № ГР/838/2023)
Номер опубликования: 3901202309250004
Дата опубликования: 25.09.2023
Страница №17 из 163:
Увеличить