Официальное опубликование правовых актов
ОФИЦИАЛЬНОЕ ОПУБЛИКОВАНИЕ
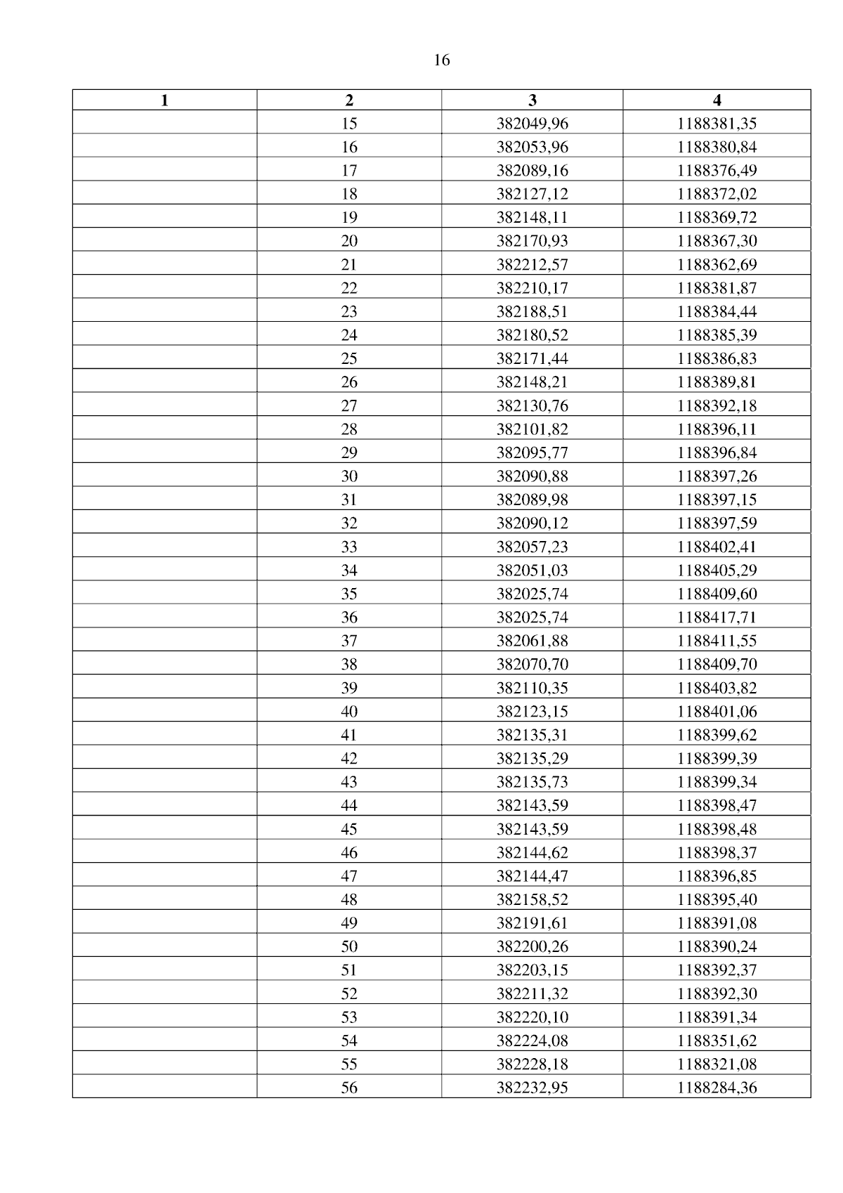
Приказ Министерства градостроительной политики Калининградской области от 19.09.2023 № 399
"Об утверждении проекта межевания территории в границах улиц Потемкина – Саратовская – Марины Расковой – Автодорожная в городе Зеленоградске Калининградской области"
(Зарегистрирован 20.09.2023 № ГР/830/2023)
Номер опубликования: 3901202309210003
Дата опубликования: 21.09.2023
Страница №18 из 23:
Увеличить