Официальное опубликование правовых актов
ОФИЦИАЛЬНОЕ ОПУБЛИКОВАНИЕ
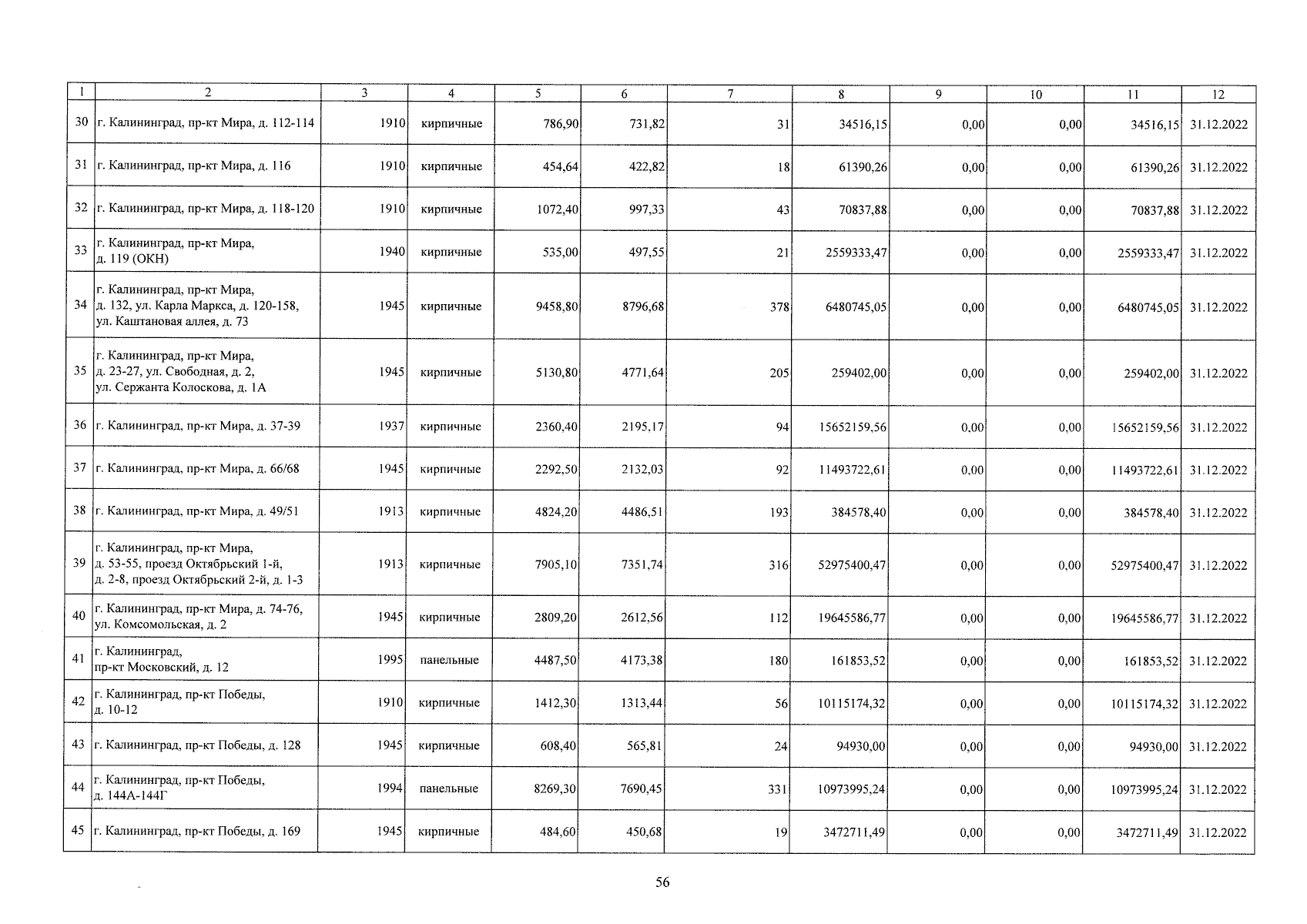
Приказ Министерства строительства и жилищно-коммунального хозяйства Калининградской области от 04.09.2023 № 230
"О внесении изменений в краткосрочный план реализации на 2021 – 2023 годы региональной программы капитального ремонта общего имущества в многоквартирных домах, расположенных на территории Калининградской области"
(Зарегистрирован 05.09.2023 № ГР/786/2023)
Номер опубликования: 3901202309060004
Дата опубликования: 06.09.2023
Страница №58 из 162:
Увеличить