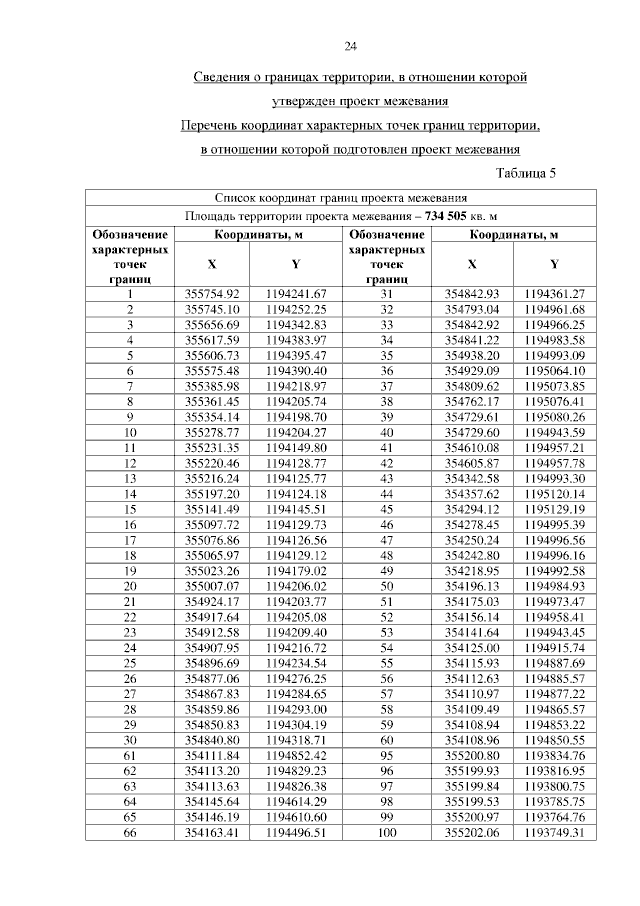
Приказ Министерства градостроительной политики Калининградской области от 25.07.2023 № 326
"Об утверждении проекта внесения изменений в документацию по планировке территории, утвержденную постановлением администрации городского округа "Город Калининград" от 08 октября 2014 года № 1568"
(Зарегистрирован 26.07.2023 № ГР/644/2023)
"Об утверждении проекта внесения изменений в документацию по планировке территории, утвержденную постановлением администрации городского округа "Город Калининград" от 08 октября 2014 года № 1568"
(Зарегистрирован 26.07.2023 № ГР/644/2023)
Номер опубликования: 3901202307310002
Дата опубликования:
31.07.2023
