Официальное опубликование правовых актов
ОФИЦИАЛЬНОЕ ОПУБЛИКОВАНИЕ
Приказ Министерства градостроительной политики Калининградской области от 06.06.2023 № 238
"Об утверждении документации по планировке территории, предусматривающей размещение линейного объекта регионального значения"
(Зарегистрирован 06.06.2023 № ГР/503/2023)
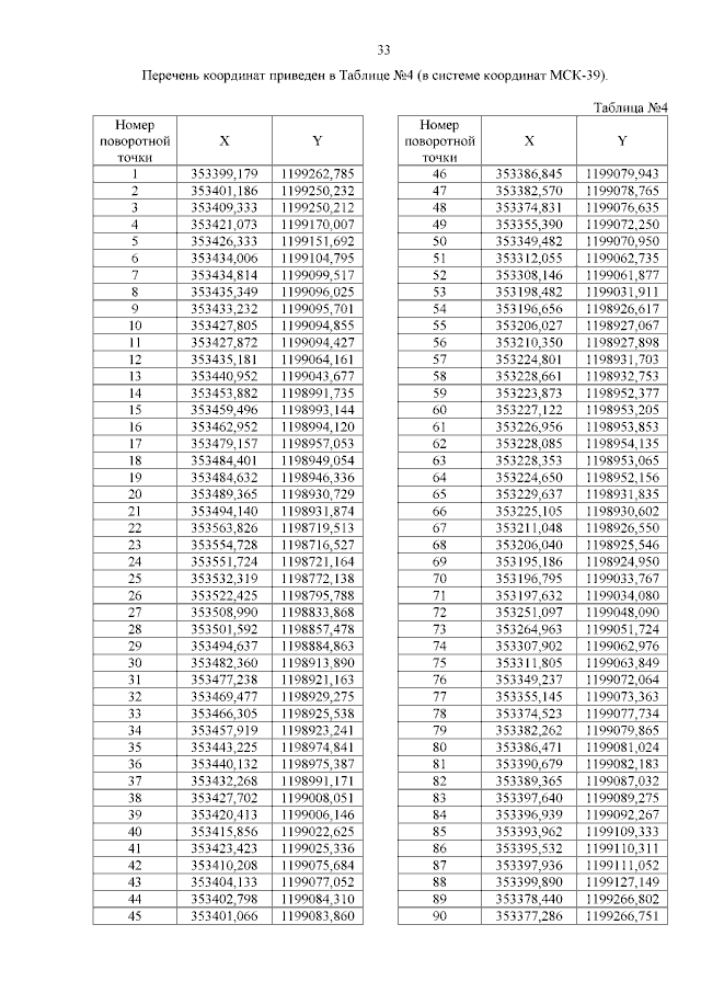
Номер опубликования: 3901202306080001
Дата опубликования: 08.06.2023
Страница №35 из 37:
Увеличить