Официальное опубликование правовых актов
ОФИЦИАЛЬНОЕ ОПУБЛИКОВАНИЕ
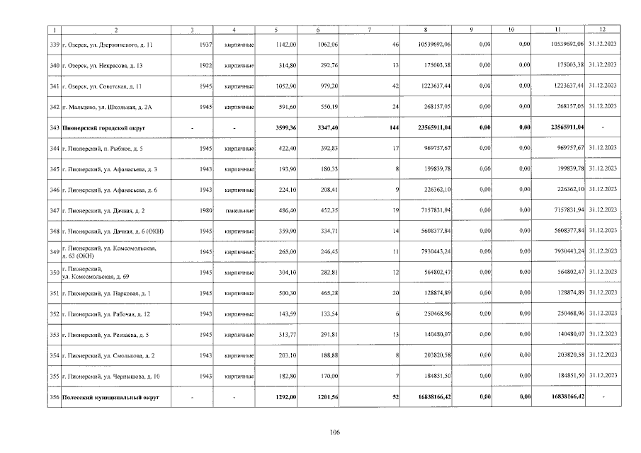
Приказ Министерства строительства и жилищно-коммунального хозяйства Калининградской области от 01.06.2023 № 138
"О внесении изменений в краткосрочный план реализации на 2021 – 2023 годы региональной программы капитального ремонта общего имущества в многоквартирных домах, расположенных на территории Калининградской области"
(Зарегистрирован 02.06.2023 № ГР/494/2023)
Номер опубликования: 3901202306050001
Дата опубликования: 05.06.2023
Страница №108 из 163:
Увеличить