Официальное опубликование правовых актов
ОФИЦИАЛЬНОЕ ОПУБЛИКОВАНИЕ
Приказ Службы по государственному регулированию цен и тарифов Калининградской области от 29.11.2022 № 96-11э/22
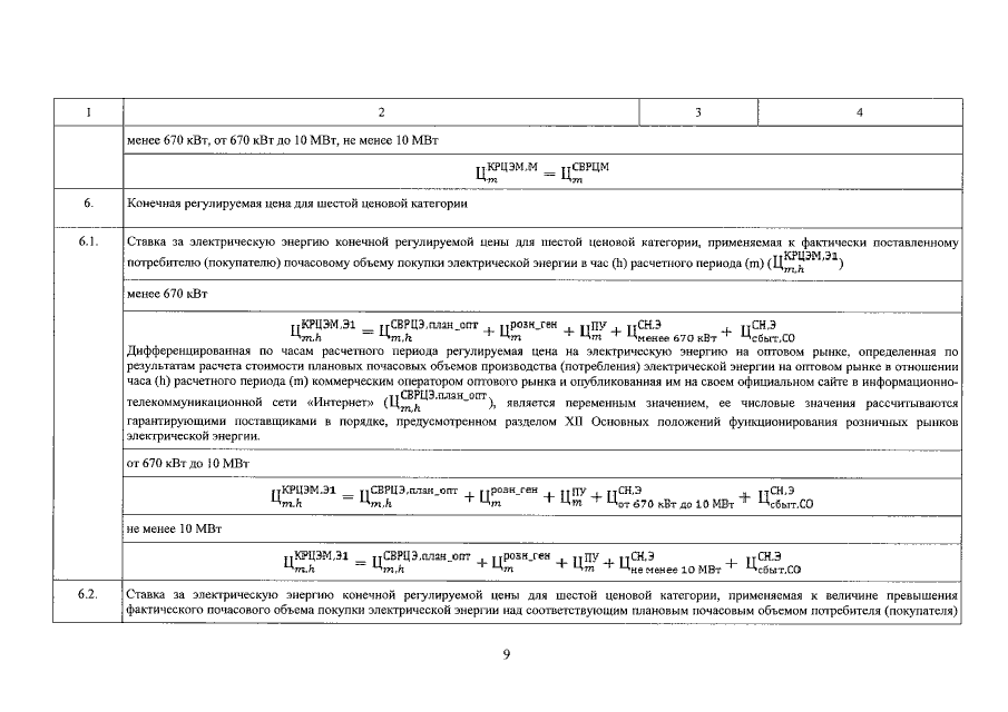
"Об установлении цен (тарифов) на электрическую энергию (мощность), приобретаемую у гарантирующего поставщика АО "Янтарьэнергосбыт" энергосбытовыми организациями ООО "РУСЭНЕРГОСБЫТ", АО "Мосэнергосбыт", ООО "МТС ЭНЕРГО", ООО "ЭСК "Красное "Сормово", АО "Газпром энергосбыт", ООО "ЛУКОЙЛ-ЭНЕРГОСЕРВИС", ООО "Транснефтьэнерго" и поставляемую на розничном рынке Калининградской области покупателям, за исключением электрической энергии (мощности), поставляемой населению и приравненным к нему категориям потребителей"
Номер опубликования: 3901202212010009
Дата опубликования: 01.12.2022
Страница №11 из 43:
Увеличить