Официальное опубликование правовых актов
ОФИЦИАЛЬНОЕ ОПУБЛИКОВАНИЕ
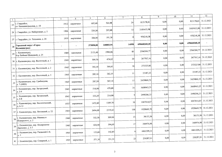
Приказ Министерства строительства и жилищно-коммунального хозяйства Калининградской области от 14.03.2022 № 15/05
"О внесении изменений в краткосрочный план реализации на 2021 – 2023 годы региональной программы капитального ремонта общего имущества в многоквартирных домах, расположенных на территории Калининградской области, на 2015 – 2044 годы"
Номер опубликования: 3901202203160007
Дата опубликования: 16.03.2022
Страница №4 из 109:
Увеличить