Официальное опубликование правовых актов
ОФИЦИАЛЬНОЕ ОПУБЛИКОВАНИЕ
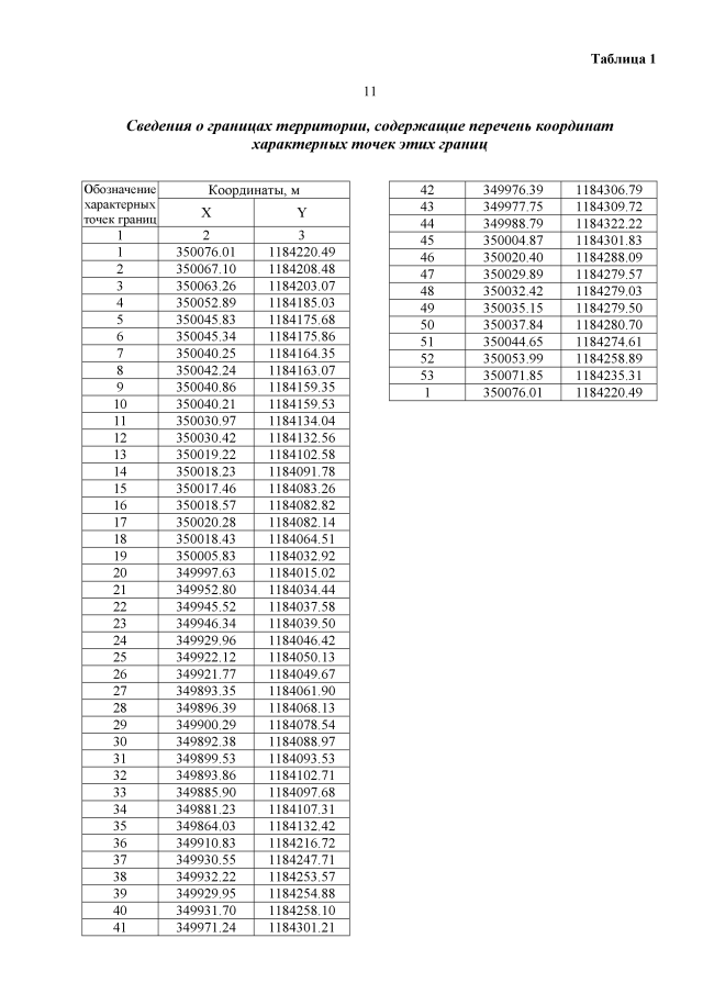
Приказ Агентства по архитектуре, градостроению и перспективному развитию Калининградской области от 24.02.2022 № 100
"Об утверждении проекта межевания территории в границах улиц Совхозная – Озерная – Заводская – Калининградское шоссе в поселке Шоссейное муниципального образования "Гурьевский городской округ" Калининградской области"
Номер опубликования: 3901202203030015
Дата опубликования: 03.03.2022
Страница №13 из 17:
Увеличить