Официальное опубликование правовых актов
ОФИЦИАЛЬНОЕ ОПУБЛИКОВАНИЕ
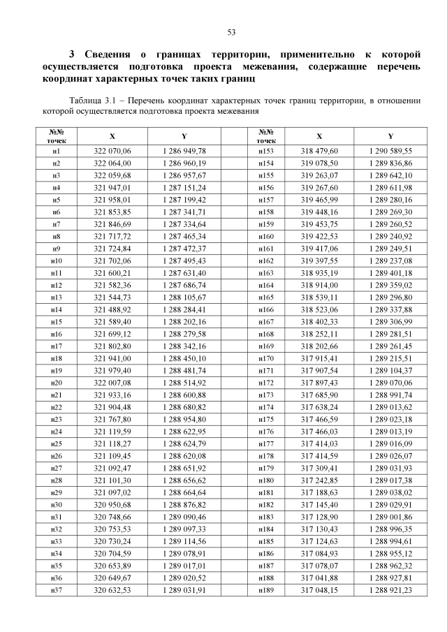
Приказ Агентства по архитектуре, градостроению и перспективному развитию Калининградской области от 29.12.2021 № 584
"Об утверждении документации по планировке территории, предусматривающей размещение линейного объекта регионального значения"
Номер опубликования: 3901202201050007
Дата опубликования: 05.01.2022
Страница №55 из 58:
Увеличить