Официальное опубликование правовых актов
ОФИЦИАЛЬНОЕ ОПУБЛИКОВАНИЕ
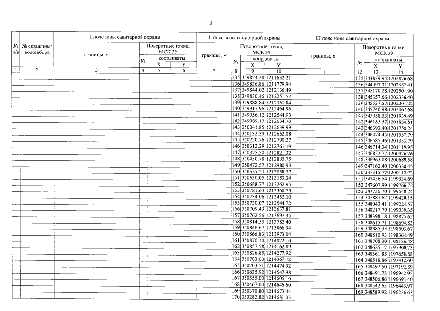
Приказ Министерства природных ресурсов и экологии Калининградской области от 24.12.2021 № 558
"Об установлении границ и режима зон санитарной охраны источников питьевого и хозяйственно-бытового водоснабжения"
Номер опубликования: 3901202112280089
Дата опубликования: 28.12.2021
Страница №8 из 22:
Увеличить