Официальное опубликование правовых актов
ОФИЦИАЛЬНОЕ ОПУБЛИКОВАНИЕ
Приказ Агентства по имуществу Калининградской области от 28.07.2021 № 1372-пр/16
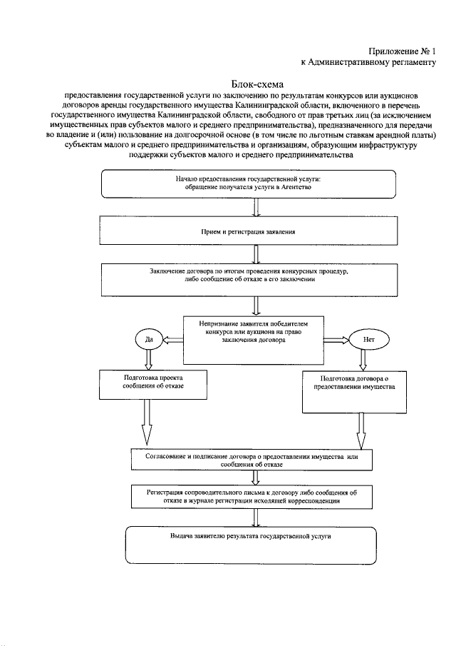
"Об утверждении Административного регламента предоставления Агентством по имуществу Калининградской области государственной услуги по заключению по результатам конкурсов или аукционов договоров аренды государственного имущества Калининградской области, включенного в перечень государственного имущества Калининградской области, свободного от прав третьих лиц (за исключением имущественных прав субъектов малого и среднего предпринимательства), предназначенного для передачи во владение и (или) пользование на долгосрочной основе (в том числе по льготным ставкам арендной платы) субъектам малого и среднего предпринимательства и организациям, образующим инфраструктуру поддержки субъектов малого и среднего предпринимательства"
Номер опубликования: 3901202108060002
Дата опубликования: 06.08.2021
Страница №25 из 28:
Увеличить