Приказ Агентства по архитектуре, градостроению и перспективному развитию Калининградской области от 18.06.2021 № 254
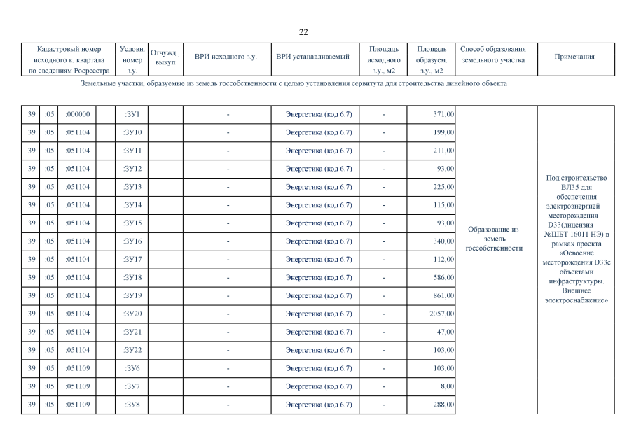
"Об утверждении проекта планировки территории с проектом межевания в его составе, предусматривающего размещение линейного объекта "Освоение месторождения D33 с объектами инфраструктуры. Внешнее электроснабжение" в границах муниципального образования "Зеленоградский городской округ" Калининградской области"
"Об утверждении проекта планировки территории с проектом межевания в его составе, предусматривающего размещение линейного объекта "Освоение месторождения D33 с объектами инфраструктуры. Внешнее электроснабжение" в границах муниципального образования "Зеленоградский городской округ" Калининградской области"
Номер опубликования: 3901202106230013
Дата опубликования:
23.06.2021
