Официальное опубликование правовых актов
ОФИЦИАЛЬНОЕ ОПУБЛИКОВАНИЕ
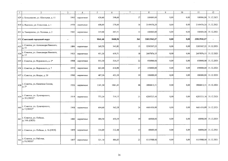
Приказ Министерства строительства и жилищно-коммунального хозяйства Калининградской области от 08.06.2021 № 240
"Об утверждении краткосрочного плана реализации на 2021 – 2023 годы региональной программы капитального ремонта общего имущества в многоквартирных домах, расположенных на территории Калининградской области, на 2015 – 2044 годы"
Номер опубликования: 3901202106100003
Дата опубликования: 10.06.2021
Страница №27 из 92:
Увеличить