Официальное опубликование правовых актов
ОФИЦИАЛЬНОЕ ОПУБЛИКОВАНИЕ
Приказ Агентства по архитектуре, градостроению и перспективному развитию Калининградской области от 24.02.2021 № 77
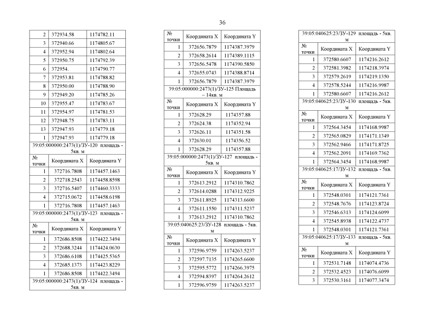
"Об утверждении проекта планировки территории с проектом межевания в его составе, предусматривающего размещение линейного объекта иного значения "Освоение месторождения D33 с объектами инфраструктуры. Первый этап освоения. Реконструкция трубопровода товарной нефти НСП "Романово" - ООО "ЛУКОЙЛ-КНТ" в границах муниципальных образований "Зеленоградский городской округ" и "Светловский городской округ" Калининградской области"
Номер опубликования: 3901202103040003
Дата опубликования: 04.03.2021
Страница №39 из 300:
Увеличить