Приказ Министерства экономического развития, промышленности и торговли Калининградской области от 16.12.2020 № 177
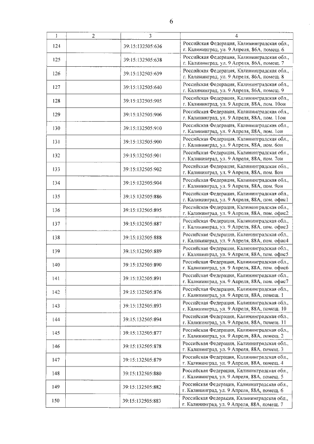
"Об определении перечня объектов недвижимого имущества, в отношении которых налоговая база определяется как кадастровая стоимость на 2021 год"
"Об определении перечня объектов недвижимого имущества, в отношении которых налоговая база определяется как кадастровая стоимость на 2021 год"
Номер опубликования: 3901202012210015
Дата опубликования:
21.12.2020
