Официальное опубликование правовых актов
ОФИЦИАЛЬНОЕ ОПУБЛИКОВАНИЕ
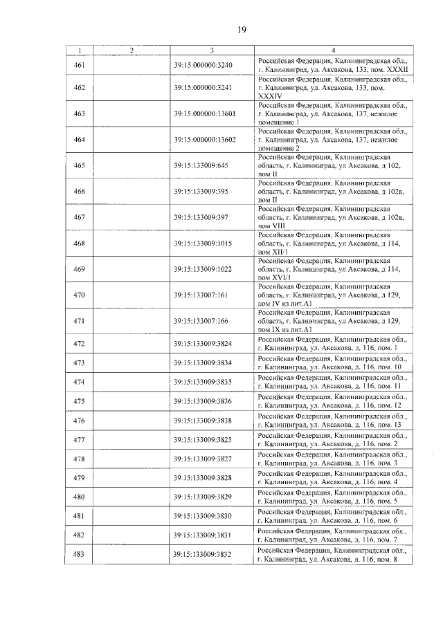
Приказ Министерства экономического развития, промышленности и торговли Калининградской области от 16.12.2020 № 177
"Об определении перечня объектов недвижимого имущества, в отношении которых налоговая база определяется как кадастровая стоимость на 2021 год"
Номер опубликования: 3901202012210015
Дата опубликования: 21.12.2020
Страница №20 из 699:
Увеличить