Официальное опубликование правовых актов
ОФИЦИАЛЬНОЕ ОПУБЛИКОВАНИЕ
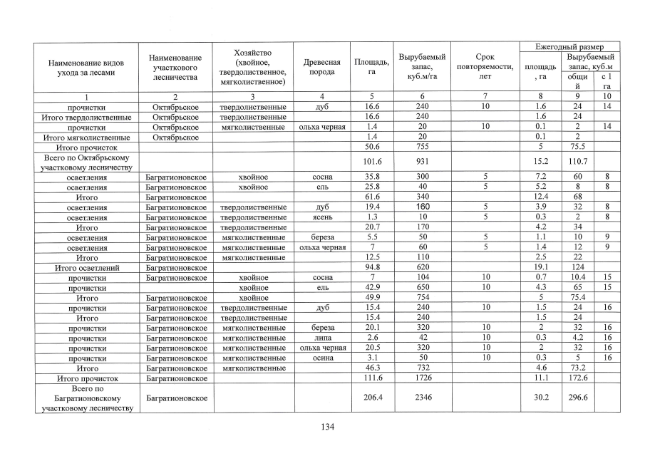
Приказ Министерства природных ресурсов и экологии Калининградской области от 27.05.2020 № 182
"Об утверждении лесохозяйственного регламента Багратионовского лесничества Калининградской области"
Номер опубликования: 3901202005290007
Дата опубликования: 29.05.2020
Страница №135 из 156:
Увеличить