Официальное опубликование правовых актов
ОФИЦИАЛЬНОЕ ОПУБЛИКОВАНИЕ
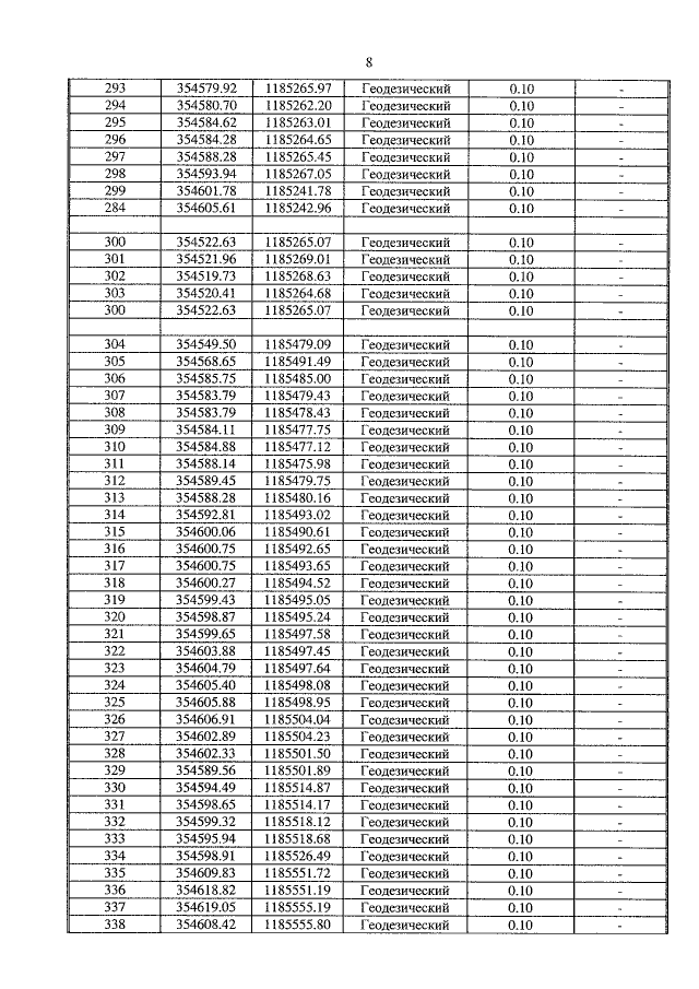
Приказ Министерства строительства и жилищно-коммунального хозяйства Калининградской области от 20.04.2020 № 310
"Об утверждении границ охранных зон газораспределительных сетей и наложении ограничений (обременений) на входящие в них земельные участки"
Номер опубликования: 3901202004240005
Дата опубликования: 24.04.2020
Страница №10 из 29:
Увеличить