Официальное опубликование правовых актов
ОФИЦИАЛЬНОЕ ОПУБЛИКОВАНИЕ
Приказ Министерства социальной политики Калининградской области от 17.04.2020 № 225
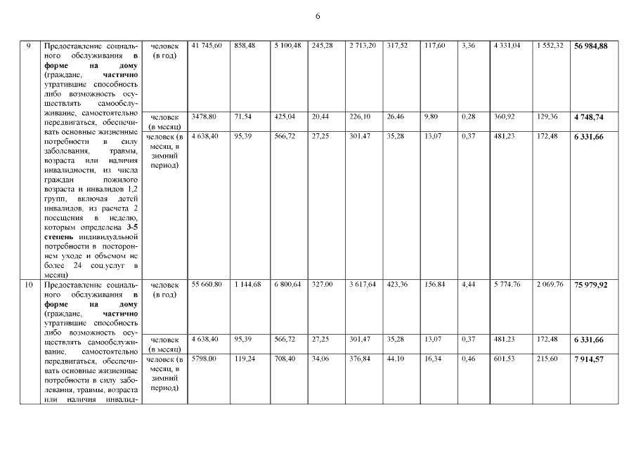
"О внесении изменений в приказ Министерства социальной политики Калининградской области от 16 февраля 2018 года № 74 "Об утверждении значений базовых нормативов затрат на оказание государственных услуг учреждениями, подведомственными Министерству социальной политики Калининградской области"
Номер опубликования: 3901202004230001
Дата опубликования: 23.04.2020
Страница №26 из 27:
Увеличить