Официальное опубликование правовых актов
ОФИЦИАЛЬНОЕ ОПУБЛИКОВАНИЕ
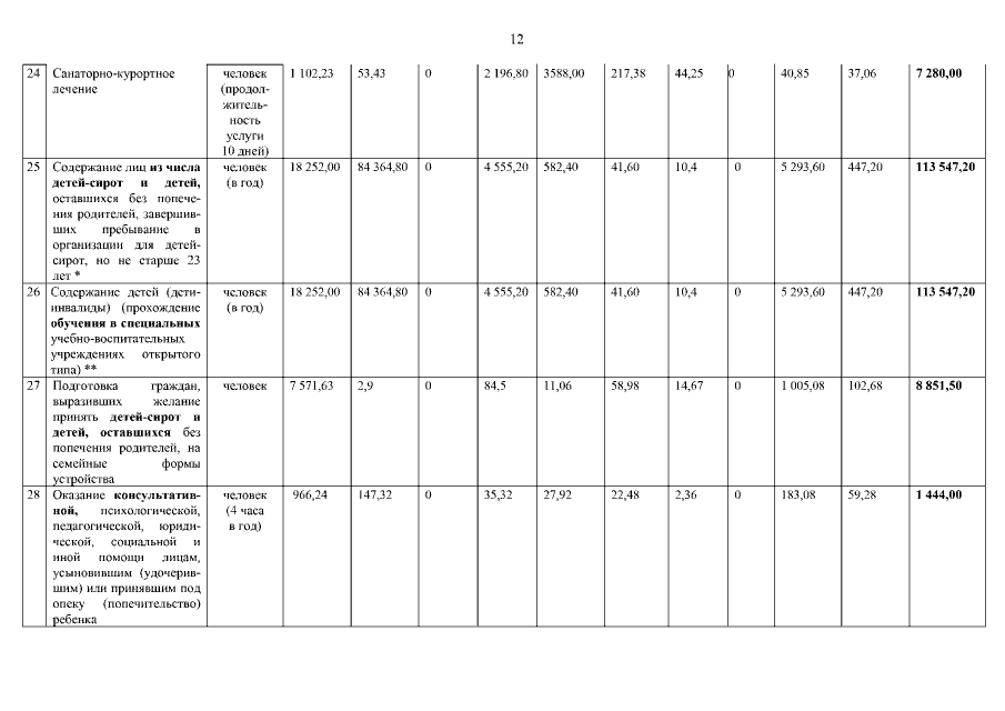
Приказ Министерства социальной политики Калининградской области от 30.12.2019 № 1156
"О внесении изменений в приказ Министерства социальной политики Калининградской области от 16 февраля 2018 года № 74 "Об утверждении значений базовых нормативов затрат на оказание государственных услуг учреждениями, подведомственными Министерству социальной политики Калининградской области"
Номер опубликования: 3901201912310007
Дата опубликования: 31.12.2019
Страница №14 из 38:
Увеличить