Официальное опубликование правовых актов
ОФИЦИАЛЬНОЕ ОПУБЛИКОВАНИЕ
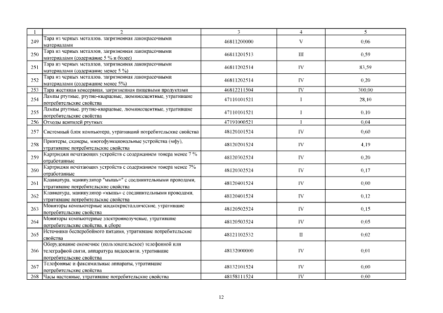
Приказ Министерства природных ресурсов и экологии Калининградской области от 22.11.2019 № 649
"Об утверждении территориальной схемы обращения с отходами производства и потребления в Калининградской области и признании утратившим силу приказа Министерства природных ресурсов и экологии Калининградской области от 28 марта 2018 года № 145"
Номер опубликования: 3901201911290004
Дата опубликования: 29.11.2019
Страница №2210 из 2535:
Увеличить