Официальное опубликование правовых актов
ОФИЦИАЛЬНОЕ ОПУБЛИКОВАНИЕ
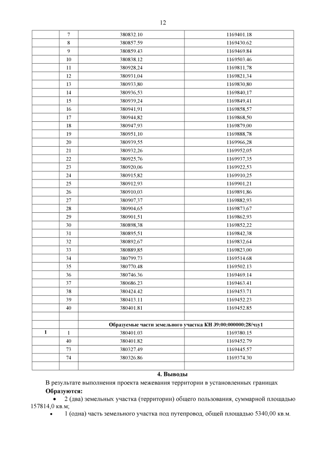
Приказ Агентства по архитектуре, градостроению и перспективному развитию Калининградской области от 20.11.2019 № 427
"Об утверждении проекта внесения изменений в проект межевания территории в составе документации по планировке территории, предусматривающей размещение линейного объекта местного значения"
Номер опубликования: 3901201911270002
Дата опубликования: 27.11.2019
Страница №14 из 14:
Увеличить