Официальное опубликование правовых актов
ОФИЦИАЛЬНОЕ ОПУБЛИКОВАНИЕ
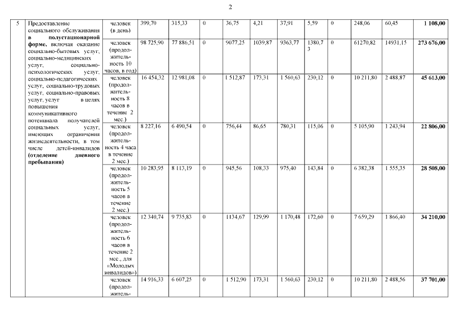
Приказ Министерства социальной политики Калининградской области от 30.08.2019 № 666
"О внесении изменений в приказы Министерства социальной политики Калининградской области от 16 февраля 2018 года № 74 "Об утверждении значений базовых нормативов затрат на оказание государственных услуг учреждениями, подведомственными Министерству социальной политики Калининградской области" и от 16 февраля 2018 года № 73 "Об утверждении методик расчетов и значения корректирующих коэффициентов к базовым нормативам затрат на оказание государственных услуг учреждениям, подведомственным Министерству социальной политики Калининградской области, поставщикам социальных услуг, которые включены в реестр поставщиков социальных услуг Калининградской области, но не участвуют в выполнении государственного задания (заказа), при получении у них гражданином социальных услуг, предусмотренных индивидуальной программой предоставления социальных услуг"
Номер опубликования: 3901201909050002
Дата опубликования: 05.09.2019
Страница №6 из 10:
Увеличить