Официальное опубликование правовых актов
ОФИЦИАЛЬНОЕ ОПУБЛИКОВАНИЕ
Приказ Агентства по архитектуре, градостроению и перспективному развитию Калининградской области от 29.07.2019 № 252
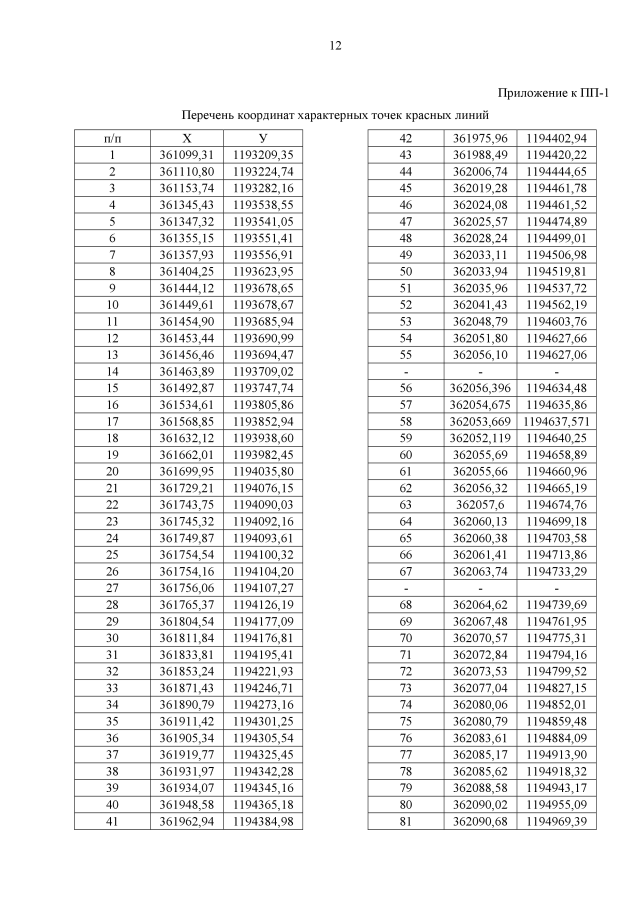
"Об утверждении документации по планировке территории, предусматривающей размещение линейного объекта местного значения "Строительство ул. Строительной до а/д "Северный обход города Калининграда" с реконструкцией существующего участка ул. Строительная в г. Гурьевске Калининградской области"
Номер опубликования: 3901201908050002
Дата опубликования: 05.08.2019
Страница №14 из 84:
Увеличить