Официальное опубликование правовых актов
ОФИЦИАЛЬНОЕ ОПУБЛИКОВАНИЕ
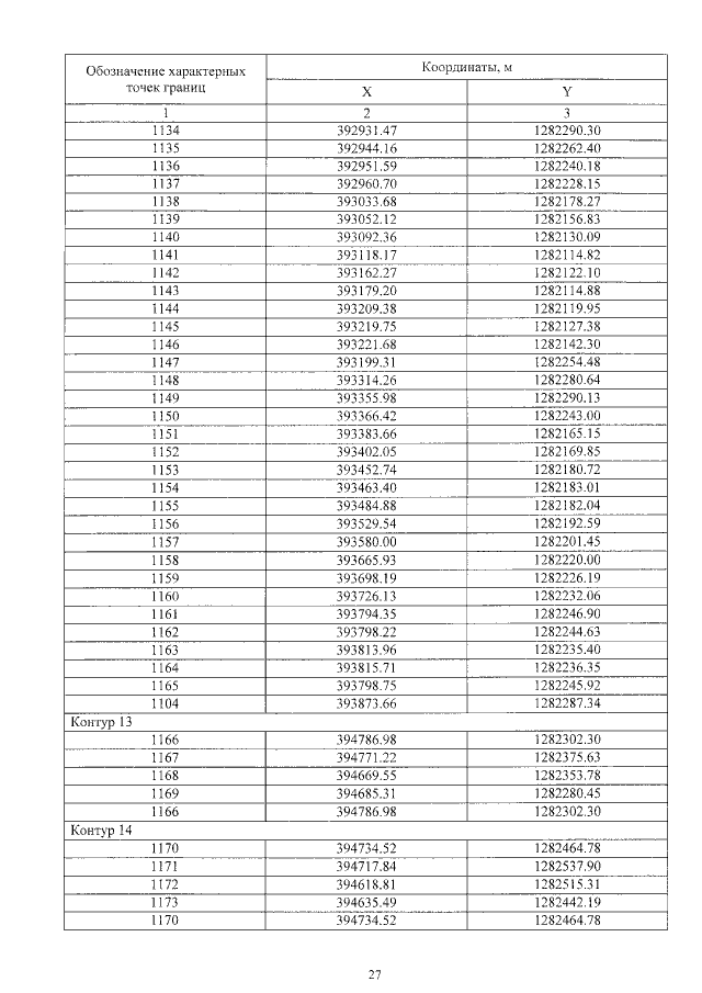
Приказ Министерства развития инфраструктуры Калининградской области от 23.07.2019 № 270
"Об установлении границ придорожных полос автомобильной дороги общего пользования регионального или межмуниципального значения, относящейся к собственности Калининградской области, 27 ОП РЗ 27А-004 "Обход города Советска"
Номер опубликования: 3901201907290002
Дата опубликования: 29.07.2019
Страница №29 из 30:
Увеличить