Официальное опубликование правовых актов
ОФИЦИАЛЬНОЕ ОПУБЛИКОВАНИЕ
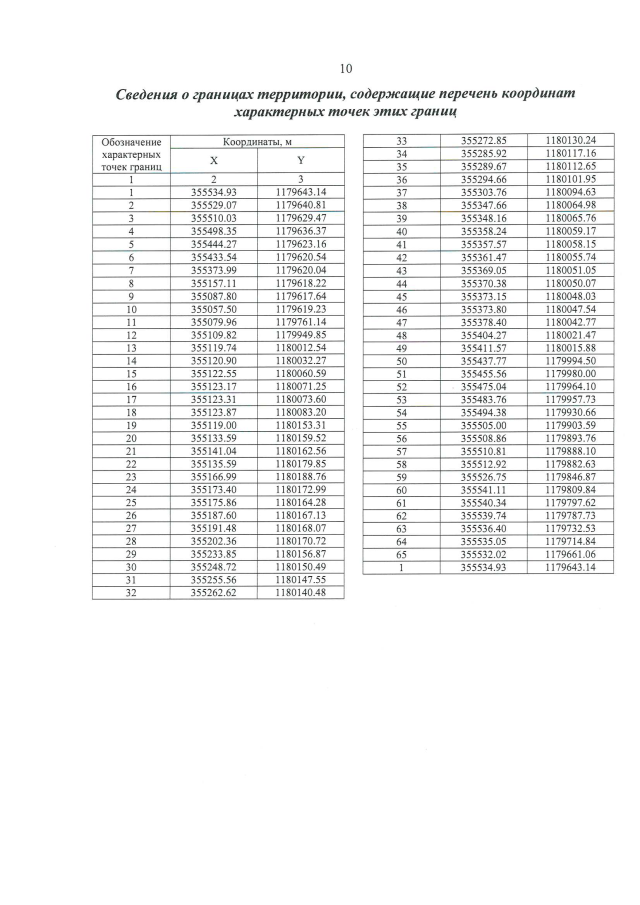
Приказ Агентства по архитектуре, градостроению и перспективному развитию Калининградской области от 15.07.2019 № 219
"Об утверждении проекта межевания территории по шоссе Балтийскому в Центральном районе города Калининграда"
Номер опубликования: 3901201907190021
Дата опубликования: 19.07.2019
Страница №12 из 15:
Увеличить