Официальное опубликование правовых актов
ОФИЦИАЛЬНОЕ ОПУБЛИКОВАНИЕ
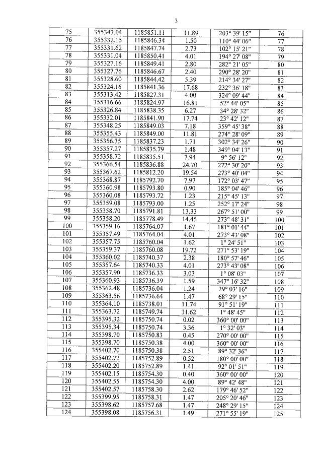
Приказ Министерства строительства и жилищно-коммунального хозяйства Калининградской области от 31.05.2019 № 312/9
"О внесении изменений в приказ Министерства строительства и жилищно-коммунального хозяйства Калининградской области от 20 февраля 2019 года № 93"
Номер опубликования: 3901201906060001
Дата опубликования: 06.06.2019
Страница №4 из 12:
Увеличить