Официальное опубликование правовых актов
ОФИЦИАЛЬНОЕ ОПУБЛИКОВАНИЕ
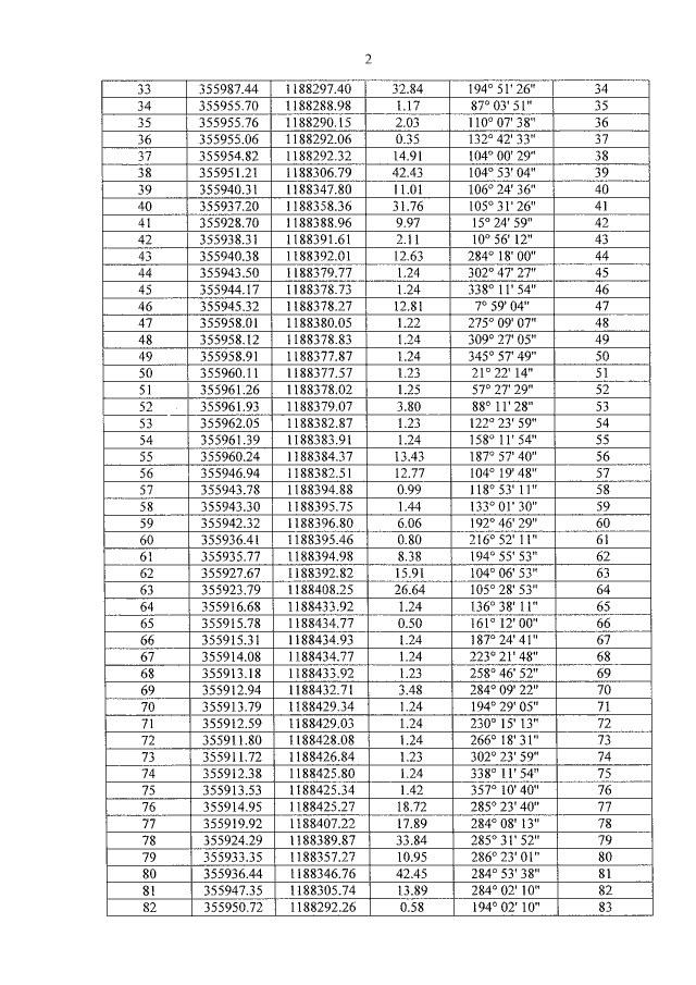
Приказ Министерства строительства и жилищно-коммунального хозяйства Калининградской области от 09.04.2019 № 227
"О внесении изменений в приказ Министерства строительства и жилищно-коммунального хозяйства Калининградской области от 20 февраля 2019 года № 99"
Номер опубликования: 3901201904150003
Дата опубликования: 15.04.2019
Страница №4 из 6:
Увеличить