Официальное опубликование правовых актов
ОФИЦИАЛЬНОЕ ОПУБЛИКОВАНИЕ
Приказ Агентства по архитектуре, градостроению и перспективному развитию Калининградской области от 04.04.2019 № 117
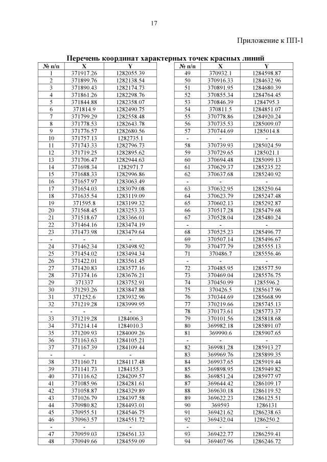
"Об утверждении проекта планировки территории с проектом межевания в его составе, предусматривающего размещение линейного объекта регионального значения "Реконструкция автомобильной дороги "Жилино-Ульяново" км 4,2-14,2 Неманского района Калининградской области" в границах муниципального образования "Неманский городской округ"
Номер опубликования: 3901201904100020
Дата опубликования: 10.04.2019
Страница №19 из 133:
Увеличить