Официальное опубликование правовых актов
ОФИЦИАЛЬНОЕ ОПУБЛИКОВАНИЕ
Приказ Агентства по архитектуре, градостроению и перспективному развитию Калининградской области от 07.03.2019 № 92
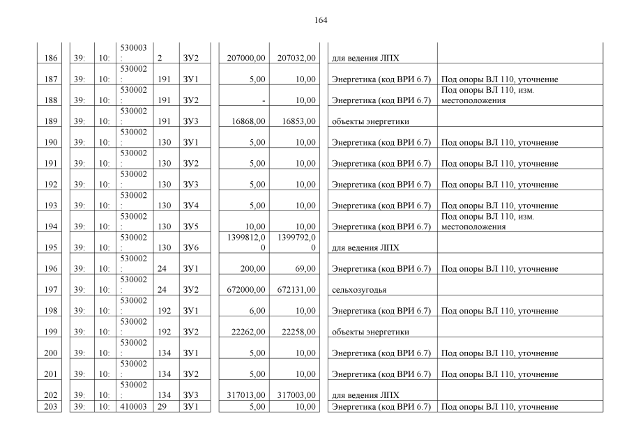
"Об утверждении проекта планировки территории с проектом межевания территории в его составе для реконструкции линии электропередачи по титулу "Реконструкция ВЛ 110 кВ О-19 Полесск – О-3 Знаменск с отпайкой на ПС О-33 Красноборская (Л-122/155) с установкой выключателя на ПС 110 кВ О-3 Знаменск"
Номер опубликования: 3901201903150004
Дата опубликования: 15.03.2019
Страница №166 из 176:
Увеличить