Официальное опубликование правовых актов
ОФИЦИАЛЬНОЕ ОПУБЛИКОВАНИЕ
Приказ Агентства по архитектуре, градостроению и перспективному развитию Калининградской области от 14.02.2019 № 67
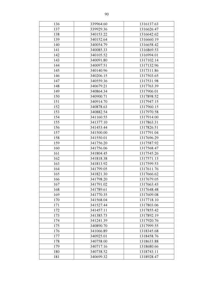
"Об утверждении проекта планировки территории с проектом межевания в его составе, предусматривающего размещение линейного объекта регионального значения "Газопровод межпоселковый Нестеров – Илюшино – Ясная Поляна Нестеровского района Калининградской области"
Номер опубликования: 3901201902210005
Дата опубликования: 21.02.2019
Страница №92 из 94:
Увеличить