Официальное опубликование правовых актов
ОФИЦИАЛЬНОЕ ОПУБЛИКОВАНИЕ
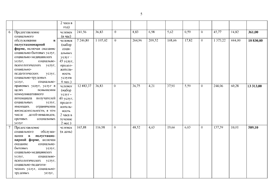
Приказ Министерства социальной политики Калининградской области от 23.01.2019 № 45
"О внесении изменений и дополнений в приказ Министерства социальной политики Калининградской области от 16 февраля 2018 г. № 74 "Об утверждении значений базовых нормативов затрат на оказание государственных услуг учреждениями, подведомственными Министерству социальной политики Калининградской области"
Номер опубликования: 3901201901290018
Дата опубликования: 29.01.2019
Страница №7 из 27:
Увеличить