Официальное опубликование правовых актов
ОФИЦИАЛЬНОЕ ОПУБЛИКОВАНИЕ
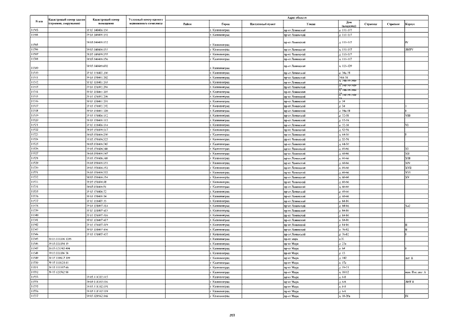
Приказ Министерства по промышленной политике, развитию предпринимательства и торговли Калининградской области от 27.12.2018 № 198
"Об определении перечня объектов недвижимого имущества, в отношении которых налоговая база определяется как кадастровая стоимость на 2019 год"
Номер опубликования: 3901201812290003
Дата опубликования: 29.12.2018
Страница №204 из 217:
Увеличить