Официальное опубликование правовых актов
ОФИЦИАЛЬНОЕ ОПУБЛИКОВАНИЕ
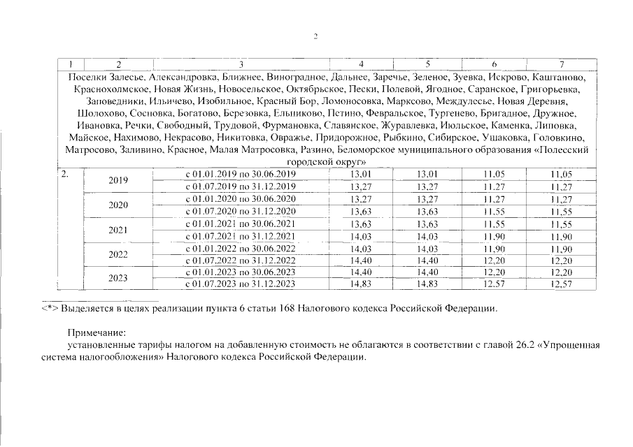
Приказ Службы по государственному регулированию цен и тарифов Калининградской области от 03.12.2018 № 92-01окк/18
"Об установлении тарифов на питьевую воду (питьевое водоснабжение) и водоотведение организации водопроводно-канализационного хозяйства МКУП "Полесское ЖЭУ" на 2019-2023 годы"
Номер опубликования: 3901201812110013
Дата опубликования: 11.12.2018
Страница №3 из 10:
Увеличить