Официальное опубликование правовых актов
ОФИЦИАЛЬНОЕ ОПУБЛИКОВАНИЕ
Приказ Агентства по архитектуре, градостроению и перспективному развитию Калининградской области от 30.11.2018 № 323
"Об утверждении проекта планировки территории с проектом межевания в его составе, предусматривающего размещение линейного объекта "Строительство магистральной улицы районного значения п. Зори – граница муниципального образования "Городское поселение "Пионерский городской округ" в границах муниципального образования "Городское поселение "Город Светлогорск" Калининградской области"
Номер опубликования: 3901201812060003
Дата опубликования: 06.12.2018
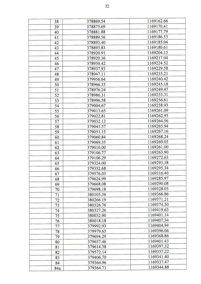
Страница №34 из 37:
Увеличить