Официальное опубликование правовых актов
ОФИЦИАЛЬНОЕ ОПУБЛИКОВАНИЕ
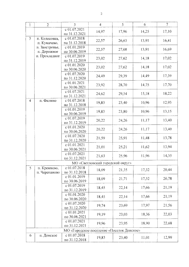
Приказ Службы по государственному регулированию цен и тарифов Калининградской области от 19.11.2018 № 75-02окк/18
"О внесении изменений в отдельные приказы Службы по государственному регулированию цен и тарифов Калининградский области"
Номер опубликования: 3901201811270003
Дата опубликования: 27.11.2018
Страница №4 из 9:
Увеличить