Официальное опубликование правовых актов
ОФИЦИАЛЬНОЕ ОПУБЛИКОВАНИЕ
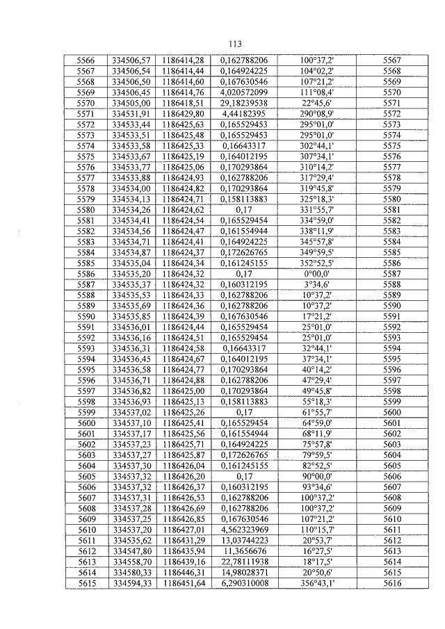
Приказ Министерства строительства и жилищно-коммунального хозяйства Калининградской области от 08.06.2018 № 211
"Об утверждении границ охранных зон объектов газораспределительных сетей и наложении ограничений (обременений) на входящие в них земельные участки"
Номер опубликования: 3901201806150005
Дата опубликования: 15.06.2018
Страница №115 из 345:
Увеличить