Официальное опубликование правовых актов
ОФИЦИАЛЬНОЕ ОПУБЛИКОВАНИЕ
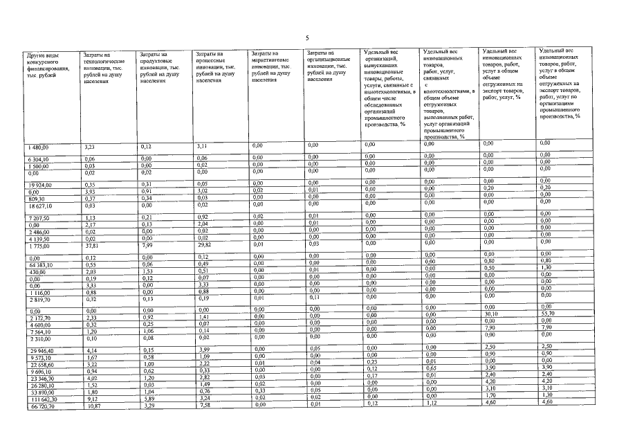
Приказ Министерства по промышленной политике, развитию предпринимательства и торговли Калининградской области от 27.02.2018 № 17
"Об утверждении Стратегии инновационного развития промышленности Калининградской области"
Номер опубликования: 3901201803060004
Дата опубликования: 06.03.2018
Страница №30 из 33:
Увеличить