Официальное опубликование правовых актов
ОФИЦИАЛЬНОЕ ОПУБЛИКОВАНИЕ
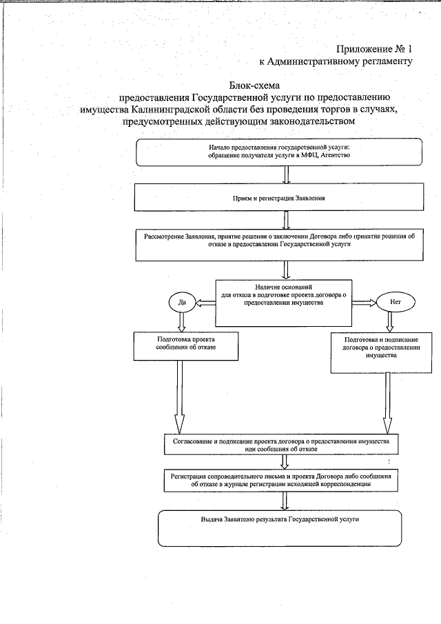
Приказ Агентства по имуществу Калининградской области от 29.01.2018 № 57-пр
"Об утверждении Административного регламента предоставления Агентством по имуществу Калининградской области государственной услуги по предоставлению имущества Калининградской области без проведения торгов в случаях, предусмотренных действующим законодательством"
Номер опубликования: 3901201802070001
Дата опубликования: 07.02.2018
Страница №22 из 25:
Увеличить